샵샵워드 lite버전이 출시되었습니다.
샵샵워드 lite는 수식기능을 제외한 버전입니다.
수식이 없는 문서인데 글이 굉장히 많은 PDF의 경우 필요이상의 포인트가 사용되는 경우들이 있습니다.
그래서 lite의 버전을 제작하게 되었습니다.
그래도 혹시 문서 내에 수식이 있다면?
lite버전에서도 수식을 표현합니다.
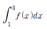
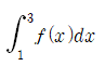
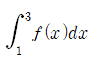
예를 들어

는 ∫_1^3f(x)dx 이런 식으로 표현됩니다.
lite 버전에서는
일반 : 장당 80p
멤버십 : 장당 30p
페이지당 포인트가 사용됩니다.
샵샵워드_lite는 샵샵워드와 id를 공유하며, 멤버권도 공유합니다.
단, 작업내역이 공유되지는 않습니다.
수식이 없는 PDF 문서인 경우는 더 저렴한 샵샵워드_라이트를 사용해 주세요 ^^!
샵샵워드_lite의 사용법은 기본적으로 샵샵워드와 동일합니다. 단, 수식 설정란이 없습니다.
사용법은 샵샵워드 사용법을 참고해주세요.
샵샵워드25 사용설명서[전체]
샵샵워드25는 PDF를 HWP로 변환하는 프로그램입니다. 단순 텍스트 뿐이 아니라 수식, 표, 이미지를 모두 변환시켜줍니다. 물론 한계도 있습니다. 채점, 풀이, 낙서 등 손글씨가 있는 경우는 인식에
blog.xn--hy1bk3ua490d.com
샵샵워드 lite는 홈페이지에서 받으실 수 있습니다.
'샵샵워드 > 샵샵워드는' 카테고리의 다른 글
| 워드는 샵샵이에게 맡기고 더 중요한 일에 집중하세요 (7) | 2024.11.13 |
|---|
